如何确定屏蔽罩接地孔的密度
发布时间: 2025-06-11 09:26:35 查看数:一、接地孔密度的基本原则
接地孔的主要作用是为屏蔽罩提供良好的电气连接,以确保电磁干扰(EMI)能够有效接地。接地孔密度应确保在屏蔽罩的有效工作频率范围内,电磁波无法通过接地孔之间的间隙泄漏。一般原则如下:
- 接地孔间距应小于工作频率对应波长的 1/20。 这是因为电磁波的波长与频率成反比,频率越高,波长越短,接地孔间距也需要更小。
二、计算接地孔密度的公式
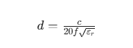
接地孔密度可以根据工作频率和屏蔽罩的尺寸进行计算。以下提供了一个常用的公式:

其中:
- \( d \) 是接地孔的最大间距(单位:米)。
- \( c \) 是光速(约 \( 3 \times 10^8 \) 米/秒)。
- \( f \) 是屏蔽罩需要抑制的最高工作频率(单位:赫兹)。
- \( \varepsilon_r \) 是接地平面材料的相对介电常数。
三、经验法则和行业标准
在实际工程应用中,除了理论计算外,还可以参考以下经验法则和行业标准:
- 经验法则:在大多数高频应用中,接地孔间距建议小于 6 毫米。对于超高频(UHF)和微波频段,间距应进一步减小到 3 毫米以下。
- 行业标准:例如,MIL-STD-285 和 CISPR 25 等标准对屏蔽罩接地孔密度有具体的要求。在设计时,应参考相关标准以确保符合电磁兼容性要求。
四、影响接地孔密度的其他因素
屏蔽罩材料和结构
- 导电性能:屏蔽罩材料的导电性能越好,接地孔密度可以适当降低。例如,铜和铝的导电性能较好,可以在相同频率下使用稍大的接地孔间距。
- 结构完整性:如果屏蔽罩有缝隙或其他不连续结构,接地孔密度需要适当增加,以补偿可能的电磁泄漏。
工作环境和应用要求
- 电磁环境:在强电磁干扰环境中,接地孔密度应更高,以确保屏蔽效能。
- 认证要求:如果产品需要通过特定的电磁兼容性认证(如 FCC、CE),应严格按照认证要求确定接地孔密度。
五、仿真和测试验证
在确定接地孔密度后,应通过电磁仿真和实际测试进行验证:
- 电磁仿真:使用仿真软件(如 HFSS、CST)建立屏蔽罩模型,模拟电磁波的传播和泄漏情况,验证接地孔密度是否满足设计要求。
- 实际测试:使用网络分析仪测量屏蔽罩的屏蔽效能,对比仿真结果,确保设计的可靠性。