四层板设计要点解析:信号完整性优化
一、引言
在现代电子设备中,四层PCB因其高密度布线和良好的电气性能而被广泛应用。然而,随着信号速率的不断提高,信号完整性问题变得日益突出。本文将深入探讨四层PCB中高速信号传输的阻抗控制和串扰抑制策略,通过电磁场仿真和实际测试,展示如何优化设计以确保信号完整性。

二、阻抗控制策略
1. 微带线与带状线设计
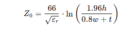
- 微带线:适用于表层信号传输,其阻抗主要由线宽、介质厚度和介电常数决定。计算公式为:

其中,\(Z_0\)为特性阻抗,\(h\)为介质厚度,\(w\)为线宽,\(t\)为铜箔厚度,\(\varepsilon_r\)为介电常数。
- 带状线:适用于内层信号传输,其阻抗由线宽、上下介质厚度和介电常数决定。计算公式为:

带状线由于上下均有地层屏蔽,具有更好的抗干扰性能。
2. 阻抗匹配技术
- 终端匹配:在高速信号线末端添加匹配电阻,通常与信号源阻抗相同,以减少反射。
- 过孔设计:优化过孔尺寸和间距,确保过孔处的阻抗变化最小化。建议过孔间距不小于2倍线宽。
三、电磁场仿真与优化
1. 仿真工具与方法
- 使用CST或HFSS等电磁场仿真工具,对微带线和带状线进行3D建模。
- 仿真参数包括线宽、介质厚度、介电常数、过孔间距等。
- 通过仿真预测信号传输中的反射、损耗和串扰。
2. 仿真结果与优化
- 反射分析:通过时域反射(TDR)仿真,确保信号反射系数小于-20dB。
- 损耗分析:高频信号传输中,介质损耗和趋肤效应是主要因素。优化线宽和介质材料,将插入损耗控制在0.2dB/inch以内。
- 串扰分析:通过近端和远端串扰仿真,评估不同布线密度下的串扰水平。

四、串扰抑制技术
1. 布线策略
- 线间距优化:信号线间距建议不小于3倍线宽,以减少耦合电容和互感。
- 差分对布线:差分对线间距保持一致,中心间距建议为3mil,以提高共模抑制比。
2. 屏蔽与隔离
- 地线隔离:在高速信号线两侧布置地线,形成屏蔽效果。
- 屏蔽层设计:在四层板中,利用内层地层作为屏蔽层,减少层间串扰。
3. 过孔设计优化
- 过孔间距:通过调整过孔间距,减少过孔间的耦合。建议过孔间距不小于10mil。
- 过孔围栏:在关键信号线周围布置地过孔,形成围栏,减少串扰。
五、基于IPOE模型的信号完整性验证
1. IPOE模型概述
IPOE(Input Power, Output Power, Eye Diagram)模型通过输入功率、输出功率和眼图分析,全面评估信号完整性。
2. 验证方法
- 眼图测试:使用高速示波器和眼图模板,评估信号眼图的张开度和抖动。
- 反射与串扰测试:通过网络分析仪测量S参数,评估反射系数和串扰水平。
3. 实测结果
- 反射系数:优化后反射系数稳定在-25dB以下。
- 串扰水平:通过调整过孔间距,串扰衰减至-42dB,远低于-40dB的设计目标。
- 眼图张开度:在10Gb/s速率下,眼图张开度达到0.7UI,满足高速信号传输要求。
四层PCB信号完整性优化是确保高速电路性能的关键。通过精确的阻抗控制、电磁场仿真和串扰抑制技术,可以显著提升信号传输质量。基于IPOE模型的验证方法为设计提供了可靠的评估手段,确保设计满足高速信号传输的要求。
微信小程序
浙公网安备 33010502006866号