mos管的工作区域
当 VGS < VTH时,mos管工作在截止区域。在该区域中,mos管处于关断状态,因为在漏极和源极之间没有感应沟道。对于要感应的沟道和mos管在线性或饱和区工作,VGS > VTH。栅极 - 漏极偏置电压 VGD将决定mos管是处于线性区还是饱和区。在这两个区域中,mos管处于导通状态,但差异在线性区域,沟道是连续的,漏极电流与沟道电阻成正比。进入饱和区,当 VDS > VGS – VTH时,通道夹断,即它变宽导致恒定的漏极电流。
电子开关
半导体开关是电子电路中的重要方面之一。像 BJT 或mos管 之类的半导体器件通常作为开关操作,即它们要么处于 ON 状态,要么处于 OFF 状态。
理想的开关特性
对于像mos管这样的半导体器件,要充当理想的开关,它必须具有以下特性:
- 在 ON 状态下,它可以承载的电流量不应有任何限制。

实用开关特性
但半导体开关并不是我们想的那么理想。在实际情况中,像mos管这样的半导体器件具有以下特性。
- 在开启状态期间,功率处理能力是有限的,即有限的传导电流。关断状态期间的阻断电压也受到限制。
- 有限的开启和关闭时间,这限制了开关速度。最大工作频率也受到限制。
- 当器件开启时,将存在一个有限的导通状态电阻,从而导致正向压降。还会有一个有限的关闭状态电阻,这会导致反向漏电流。
- 实际的开关在开启状态、关闭状态以及过渡状态(从开启到关闭或从关闭到开启)期间都会经历断电。

mos开关电路实例1
在下图所示的电路中,增强型 N 沟道mos管用于切换简单的灯“ON”和“OFF”(也可以是 LED)。栅极输入电压VGS被带到适当的正电压电平以打开器件,因此灯负载要么“打开”,(V GS = +ve),要么处于将器件“关闭”的零电压电平,(V GS = 0V)。如果灯的电阻负载要由电感负载(如线圈、螺线管或继电器)代替,则需要与负载并联一个“续流二极管”,以保护mos管免受任何自生反电动势的影响。

上面显示了一个非常简单的电路,用于切换电阻负载,例如灯或 LED。但是,当使用功率mos管切换感性或容性负载时,需要某种形式的保护来防止mos管器件受损。驱动感性负载与驱动容性负载的效果相反。例如,没有电荷的电容是短路的,导致高“涌入”电流,当我们从感性负载上移除电压时,随着磁场崩溃,我们会产生很大的反向电压,从而导致感应绕组中的感应反电动势。
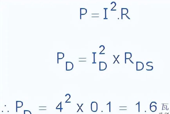
mos开关电路功耗计算
我们假设灯的额定电压为 6v、24W 并且完全“开启”,标准mos管的通道导通电阻 ( R DS(on) ) 值为 0.1ohms。计算mos管开关器件的功耗。

P沟道mos管开关电路实例
在上图我们将 N 沟道 mos管视为开关,mos管放置在负载和地之间。这也允许 mos管的栅极驱动或开关信号以地为参考(低侧开关)。但在某些应用中,如果负载直接接地,我们需要使用 P 沟道增强型 mos管。如下图所示。

在这种情况下,mos管开关连接在负载和正电源轨(高端开关)之间,就像我们使用 PNP 晶体管一样。在 P 沟道器件中,漏极电流的常规流动方向为负方向,因此施加负栅源电压以将晶体管“导通”。这是因为 P 沟道mos管是“倒置”的,其源极端子连接到正电源+V DD。然后,当开关变为低电平时,mos管变为“ON”,当开关变为高电平时,mos管变为“OFF”。P 沟道增强型mos管开关的这种倒置连接允许我们将其与 N 沟道增强型 mos管串联连接,以产生互补或 CMOS 开关器件,如上图所示为跨双电源。
mos开关电路实例2
了解 了mos管的工作原理及其工作区域,就很容易知道mos管是如何作为开关工作的。通过考虑一个简单的示例电路,将了解 mos管作为开关的操作。

这是一个简单的电路,其中 N 沟道增强模式mos管将打开或关闭灯。为了将mos管用作开关,它必须工作在截止和线性(或三极管)区域。假设设备最初是关闭的。栅极和源极之间的电压,即 V GS适当地设为正值(从技术上讲,V GS > V TH),MOSFET 进入线性区域并且开关导通。这使灯打开。如果输入栅极电压为 0V(或技术上 < V TH),则mos管进入截止状态并关闭。这反过来会使灯关闭。
mos开关电路实例3
考虑一种情况,如果你想使用微控制器对 12W LED (12V @ 1A) 进行数字控制。当你按下连接到微控制器的按钮时,LED 应打开。当你再次按下相同的按钮时,LED 应熄灭。很明显,你不能在微控制器的帮助下直接控制 LED。这个时候你就需要一种设备来弥合微控制器和 LED 之间的差距。该设备应从微控制器接收控制信号(通常该信号的电压在微控制器的工作电压范围内,例如 5V)并为 LED 供电,在这种情况下来自 12V 电源。而这个设备是mos管,上述场景的设置如下电路所示。

当逻辑 1(假设为 5V 微控制器,逻辑 1 为 5V,逻辑 0 为 0V)提供给mos管的栅极时,它打开并允许漏极电流流动。结果,LED 亮起。类似地,当 mos管的栅极为逻辑 0 时,它会关闭,进而关闭 LED。因此,你可以通过微控制器和mos管的组合对大功率设备进行数字控制。
mos管开关电路需要注意的因素---mos管的功耗
需要考虑的一个重要因素是mos管的功耗。考虑一个漏源电阻为 0.1Ω 的mos管。在上述情况下,即由 12V 电源驱动的 12W LED 将导致 1A 的漏极电流。因此,mos管消耗的功率为 P = I 2 * R = 1 * 0.1 = 0.1W。这看起来是一个比较低的值,但如果你使用相同的 mos管驱动电机,情况会略有不同。电机的启动电流(也称为浪涌电流)会非常高。

因此,即使 RDS 为 0.1Ω,电机启动期间消耗的功率仍会非常高,这可能会导致热过载。因此,RDS将是你的应用选择 mos管的关键参数。此外,在驱动电机时,反电动势是设计电路时必须考虑的重要因素。使用mos管驱动电机的主要优点之一是输入 PWM 信号可用于平滑控制电机的速度。
mos开关电路实例4
下图显示了一个使用 n 沟道增强型mos管作为开关的简单电路。此处,mos管的漏极端子 (D)通过漏极电阻RD连接到电源电压 V S ,而其源极端子 (S) 接地。此外,它在其栅极端子 (G) 处施加输入电压Vi ,而输出 Vo从其漏极汲取。

现在考虑施加的 Vi为 0V 的情况,这意味着mos管的栅极端子未偏置。因此,mos管将关闭并在其截止区域中工作,在该区域中,它为电流提供了一个高阻抗路径,这使得 IDS几乎等于零。结果,即使R D上的电压降也将变为零,因此输出电压V o将变得几乎等于V S。接下来,考虑施加的输入电压V i大于器件的阈值电压V T的情况。在这种情况下,mos管将开始导通.如果 V提供的S大于器件的夹断电压 VP(通常会如此),则mos管开始在其饱和区工作。这进一步意味着该器件将为恒定 IDS的流动提供低电阻路径,几乎就像短路一样。结果,输出电压将被拉向低电压电平,理想情况下为零。从上面的分析可以看出,输出电压在 VS和零之间变化,这取决于所提供的输入分别是小于还是大于 V T。因此,可以得出结论,当使mos管s在截止和饱和工作区域之间工作时,可以使mos管起电子开关的作用。
n 沟道耗尽型 mos管开关电路
与 n 沟道增强型mos管的情况类似,n 沟道耗尽型 mos管也可用于执行开关动作,如下图所示。这种电路的行为与上面的解释几乎相同,除了事实上,对于截止,栅极电压 VG需要设为负值,并且应小于 -V。

p 沟道增强型mos管开关电路
下图显示了将 p 沟道增强型mos管用作开关的情况。这里可以看出,电源电压 VS施加在其源极端子 (S) 上,栅极端子提供输入电压 V i,而漏极端子通过电阻RD接地。

此外,从mos管的漏极端子通过RD获得电路V o的输出。在 p 型器件的情况下,传导电流将来自空穴,因此会从源极流向漏极 ISD,而不是从漏极流向源极(IDS) 与 n 型器件一样。现在,让我们假设只有mos管的栅极电压 VG的输入电压变低。这会导致mos管开启并为电流提供低(几乎可以忽略不计)电阻路径。结果,大电流流过器件,导致电阻 RD上的电压降很大。这反过来导致输出几乎等于电源电压V S。接下来,考虑V i变高的情况,即当Vi 将大于器件的阈值电压(这些器件的 V T将为负值)。在这种情况下mos管将关闭并为电流提供高阻抗路径。这导致几乎为零的电流导致输出端子处的电压几乎为零。
p 沟道耗尽型mos管开关电路
与此类似, p 沟道耗尽型mos管也可用于执行开关动作,如下图所示。该电路的工作原理与上述电路几乎相似,只是此处的截止区域为仅当 Vi = VG为正且超过器件的阈值电压时才会出现。

以上就是关于mos管开关电路的一些电路图,如果有什么不到位的地方或者补充的地方,请大家多多指教。