PCB 六层板 SPC 统计过程控制
PCB 六层板生产中,SPC(统计过程控制)是一种关键的质量管理工具,它通过统计方法监控生产过程,及时发现并纠正偏差,确保产品质量稳定。

一、数据收集
确定关键质量特性,如孔径、线宽、层厚等。根据生产批量和检验频率,采用手册记录或自动采集系统收集数据。数据需完整、准确,涵盖生产全流程。
二、过程能力分析
计算过程能力指数(Cp 和 Cpk),评估过程满足规格的能力。Cp 表示过程潜在能力,Cpk 反映实际能力和中心趋势。公式为:

其中,USL 为上限,LSL 为下限,μ 为均值,σ 为标准差。一般要求 Cp ≥ 1,Cpk ≥ 1。
三、控制图应用
控制图是 SPC 的重要工具,用于监控过程稳定性。常见类型包括:
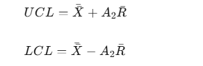
Xbar-R 图
适用于 subgroup 大小为 2-8 的情况。通过计算每个 subgroup 的均值(Xbar)和极差(R),评估过程中心和散布。中心线(CL)为总体均值和平均极差,控制限为:

其中,A2 是控制图系数,与 subgroup 大小相关。
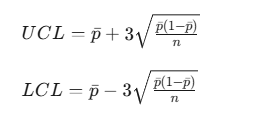
p 图
用于监控不合格品率。计算每个 subgroup 的不合格品数(np)和比例(p),控制限为:

其中,n 为 subgroup 大小。
四、过程监控与改进
实时监控控制图,观察数据点是否超出控制限或呈现异常模式,如连续 7 点上升或下降。一旦发现异常,立即停机检查,分析原因并采取纠正措施,如调整设备参数或优化工艺。定期评估过程能力,对比 Cp 和 Cpk 目标,开展质量改进活动,如优化工艺参数或减少变异源,持续提升过程能力,确保六层板质量稳定。
微信小程序
浙公网安备 33010502006866号